Bhubaneswar: Indian Metals Public Charitable Trust (IMPACT), managed by IMFA Group, is inviting nominations for the prestigious 31st Ekalabya Puraskar 2023.
The annual sports award for outstanding young sportspersons of Odisha, Ekalabya Puraskar carries a cash prize of Rs 5 lakh.
Besides the main award, two citation awards are given, which carry cash prize of Rs 50,000 each.
Application Details
* Interested candidates should send their nominations through sports organisations, boards, associations, universities, colleges or schools within Odisha
* Candidates must not exceed 25 years of age as on 31st March, 2023
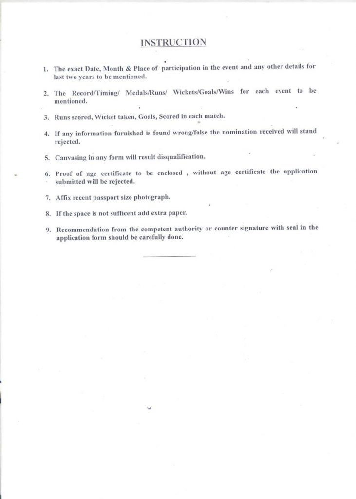
* Application should state clearly, supported by evidence, and proof of age, events performance history at State, National and International level sports competitions in the past two years i.e. from 1st April 2021 to 31st March 2023.
* Nominations must reach Ekalabya Puraskar, IMPACT, IMFA Building, Bomikhal, Bhubaneswar – 751010 by May 31st, 2023.
* Nominations can also be -mailed to ekalabya@imfa.in, in which case supporting documents must be sent separately to the postal address mentioned above.
Here is the application:














