Bhubaneswar: Sudev Kumar Prusty, belonging to the SEBC category, topped the Odisha Civil Services Examination-2021, the result of which was declared by Odisha Public Service Commission (OPSC) on Monday.
A total of 432 candidates, including 164 women, have qualified the test. There are five female candidates in the top 10 list and nine in top 20.
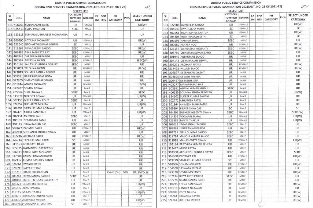
“On the basis of Main (Written) Examination held from 21.02.2023 to 18.03.2023 & Personality Test held from 15.07.2023 to 25.07.2023 of Odisha Civil Services Examination, Services Examination, 2021, the Commission hereby recommends 432 (164-w) candidates in order of merit for appointment to the Post/ Services coming under the Odisha Civil Services (Group- A & B)-2021, pursuant to Advt. No. 25 of 2021-22,” the OPSC notification said.
This came three days after the Orissa High Court lifted the interim stay on the release of the results while hearing the petition of the OPSC. It instead asked the recruiting body to reserve a seat for the Divyang candidate, who had filed a petition for not being allowed to attend the ‘personality test’.
Check the results here:
















